Matemáticas II
7 ene. 2026
Sensibilidad y postoptimización 2
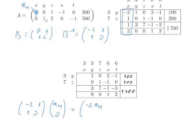
Cálculo de las variables duales
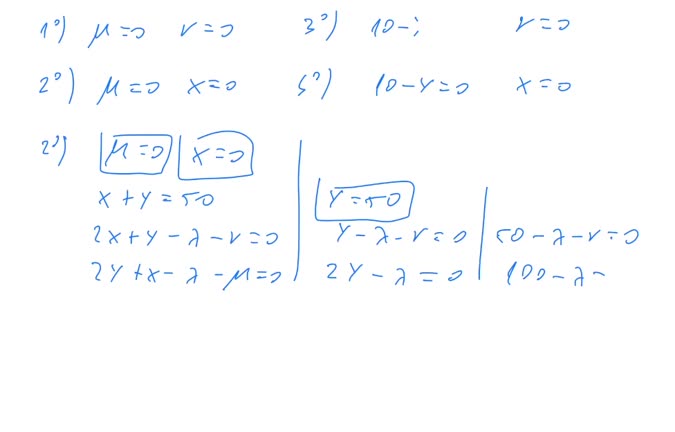
Las condiciones de Kuhn y Tucker
Ejemplo de resolución de un problema de programación no lineal
Un ejercicio resuelto de programación no lineal
- ← Anterior
- 1
- 2 (current)
- Siguiente →