Química
Cálculo del error de valoración en volumetrías de formación de complejos
VIDEOS Problemas
Curva de valoración de ácido fórmico con NaOH
Expresión de la curva. Cálculo del pH en los puntos singulares. Selección del indicador y cálculo del error de valoración
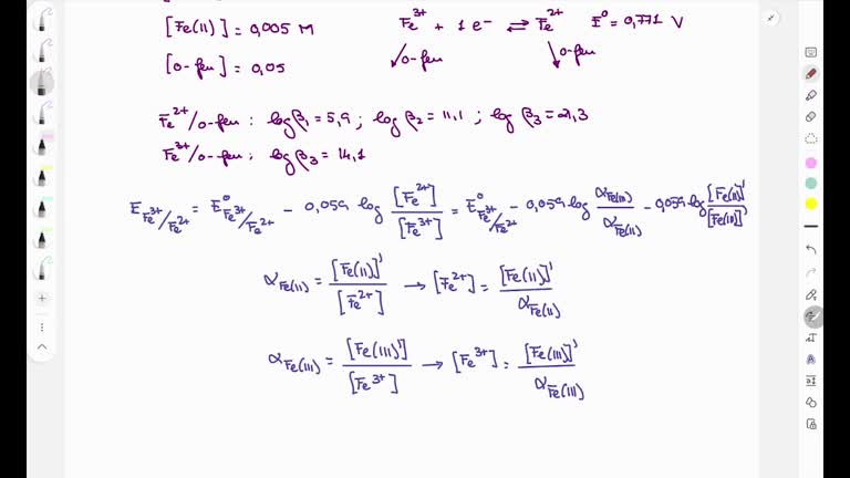
Cálculo del potencial en presencia de una reacción lateral de formación de complejos
Cálculo del potencial del par Fe(III)/Fe(II) en presencia de o-fenantrolina
Cálculo del potencial en presencia de una reacción lateral de precipitación
Cálculo del potencial del par Ag(I)/Ag(0) en presencia de cloruro
Cálculo de la constante condicional
Ejemplo del cálculo de la constante condicional para Pb con EDTA
SEMINARIO El VIDRIO: UN MATERIAL INFINITO
Seminario El VIDRIO: UN MATERIAL INFINITIO
- ← Anterior
- 1 (current)
- 2
- Siguiente →